Design and Fabrication of Electric Vehicle (EV) Charging Mechanism

ABSTRACT

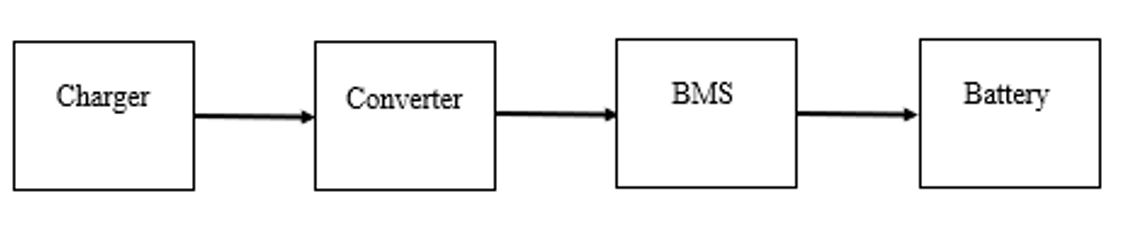
The global automotive industry is undergoing a pivotal shift towards sustainable mobility, with electric vehicles (EVs) playing a central role. This project focuses on addressing challenges related to EV adoption by optimizing charging mechanisms and safety features. Implementation of the CCS (Combined Charging System) type II Standard Charger, developed by the Society of Automotive Engineers (SAE), as a pivotal step in promoting interoperability, safety, and user-friendliness within the EV charging infrastructure, fostering a more sustainable and accessible transportation ecosystem. Supported by various EVs. It defines communication protocols, incorporates safety features, and supports up to 3 kW charging rates. Aligned with UN Sustainable Development Goals, the project contributes to Goal 7, Goal 9, and Goal 13, fostering affordable, clean energy, innovation, and climate action.


Request Report: Here